Emekliye iki ayrı zam var
Yaklaşık 2 milyon emekliye, Ocak ayında çifte zam var. Çifte zam sayısı
2 milyona yaklaşan SSK (4/a) emeklileri ve 12 bin 300 civarında Bağ-Kur (4/b) emeklileri için söz konusu olacak.
·Çifte zam hakkı olanlar hem normal zamdan hem de intibak zammından yararlanacaklar.
· Bu arada, verilen bir yasa teklifi de kabul edilirse, binlerce astsubay ve emeklisi de Ocak ayındaki normal zammın dışında intibak zammı da alacaklar.
· Ağırlıklı olarak SSK emeklilerini kapsayan intibak zammından yararlanabilmek için başvuru yapmak gerekmiyor.
Toplu ödeme yok
Okurlarının en çok merak ettiği konulardan biri de “Toplu Ödemeler” ile ilgili… Yasaya göre, intibak zamları verildiği tarihten itibaren ileri doğru işleyecek. Bu nedenle intibak zammından yararlanacak emeklilere “toplu ödeme” yapılmayacak. Artışlar Ocak 2013 emekli aylığı ödemelerine yansıtılacak.
Emeklinin dul ve yetimleri de yararlanacak
2000’den önce SSK’dan emekli olan eşini kaybeden dullar ile anne-babasını kaybeden ve “yetim aylığı” alanlar da intibak yasasından yararlanabilecek.
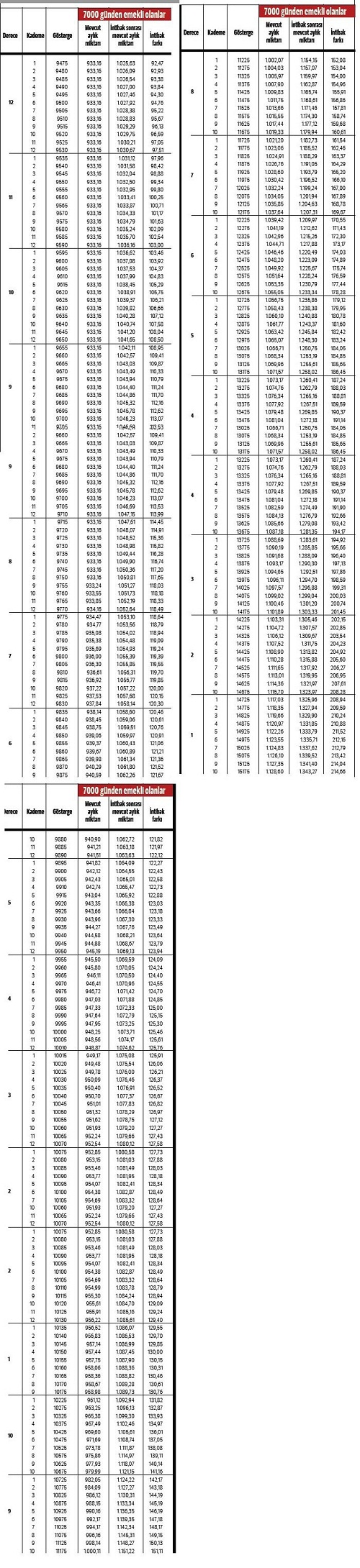
HANGİ EMEKLİ NE KADAR MAAŞ ALACAK
Kuruşu kuruşuna intibak zamları
1982 öncesinde emekli aylığı bağlananların intibak farkları
Tablo okuma kılavuzu: Emeklilik hakkınızı kaç günde elde ettiyseniz o tablodaki göstergenizi bulun. Tablolar prim ödeme sayınıza göre oluşturulmuştur. Göstergesini bulamayan ya da hatırlamayanlar tablodan mevcut aylıklarının bulunduğu sıradaki artışları da dikkate alabilir.

Hürriyet
